Καταθέσεις ύψους 2 εκατ. Ευρώ σε τράπεζες της Ελλάδας και της Κύπρου είχε ο Γιώργος Σταθάκης το 2012 σύμφωνα με το πόθεν έσχες του.
Ειδικότερα, ο νυν υπουργός Οικονομίας εμφανίζει:
- Εισοδήματα: 72.634.
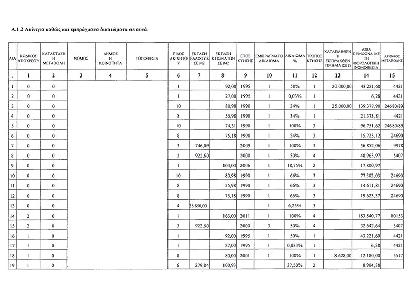
- 51 εγγραφές ακινήτων με τον Υπουργό να έχει στη δική του κατοχή τα 13 εξ αυτών.
- Εχει πουλήσει αμοιβαία κεφάλαια της BLACKROCK GLOBAL με τίμημα 54.811,84 ευρώ, μερίδια αμοιβαίων κεφαλαίων της SISE EURO CORPORATE εισπράττοντας 29.447,98 ευρώ
- Μερίδια αμοιβαίων κεφαλαίων της MORGAN STANLEY εισπράττοντας 58.373,4 ευρώ
- Διατήρησε τα μερίδια αμοιβαίων κεφαλαίων της ALPHA BLUE CHIPS, ALPHA BRIC και SISE BRIC FUND συνολικής αξίας αποτίμησης 218.643 ευρώ. Παράλληλα διατήρησε μετοχές της HELLENIC SEAWAYS αξίας κτήσης 81.187,5 ευρώ.
- Τραπεζικές καταθέσεις συνολικές 1,9 εκατομμυρίων ευρώ σε τράπεζες της Ελλάδας και της Κύπρου









iefimerida.gr
Δεν υπάρχουν σχόλια:
Δημοσίευση σχολίου